| Planetary Conjunctions & Close Alignments | |
|
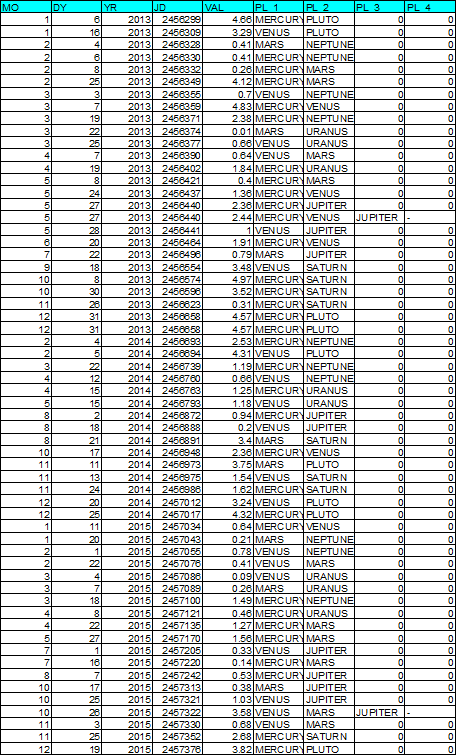
This table
list dates when close planetary alignments occur. If the predictions are a little off, it's because the
calculations were made a long time ago on my Apple //e. The table
lists the month, day, and year for the close approach.
"VAL" is the separation in angular degrees. The size of the
full moon is about 1/2 of a degree.
|
|
![]() |
I've prepared a table in comma
separated variable format that list close alignments for the next 50
years. Click here to download it. |
|
|
|
